Soal limit fungsi trigonometri dan pembahasannya.
Jika kamu mencari artikel soal limit fungsi trigonometri dan pembahasannya terbaru, berarti kamu telah berada di web yang tepat. Yuk langsung saja kita simak ulasan soal limit fungsi trigonometri dan pembahasannya berikut ini.
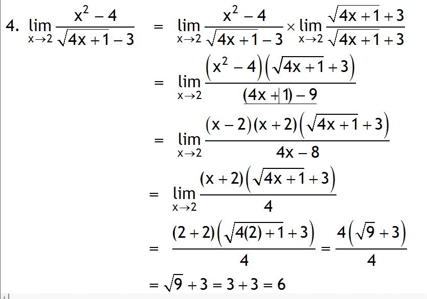
120 Soal Dan Pembahasan Limit Fungsi Trigonometri From slideshare.net
HP 390 o480 o Jawaban. 1 cos 4x 1 cos 2 2x 2 sin 2 2x. Lanjutkan membaca Soal dan Pembahasan Super Lengkap Limit Fungsi Trigonometri. 3 1 2 3 1 2 43 3 2 1 2.
Tentukan nilai Pembahasan Sebelum kita tentukan nilai eksak limit fungsi tersebut kita buat tabel pendekatan limitnya.
Soal dan Pembahasan Limit Fungsi Trigonometri Today Quote Tak pernah buat status otw tak pernah buat status jalan ke mana-mana makan di restoran mana mobilnya apa. Sebaiknya kamu baca dulu tulisan itu karena pembahasan kita akan ada kaitannya dengan materi sebelumnya. Kumpulan properti tersebut bisa dilihat pada daftar rumus limit trigonometri yang diberikan di. Titik a berada pada jarak 5 cm dari muatan 10 mikro coulomb. 1 cos 4x 1 cos 2 2x 2 sin 2 2x.
Source: brainstudy.info
120 soal dan pembahasan limit fungsi trigonometri 1. Soal Pembahasan Limit Fungsi Trigonometri Untuk soal limit fungsi trigonometri dipisahkan dalam postingan lain karena soalnya akan terlalu banyak bila ditumpuk menjadi satu. Soal dan Pembahasan Limit Fungsi Trigonometri Today Quote Tak pernah buat status otw tak pernah buat status jalan ke mana-mana makan di restoran mana mobilnya apa. Materi limit ada beberapa jenis seperti limit fungsi aljabar limit fungsi trigonometri limit menuju tak hingga limit tak hingga fungsi trigonometri dan limit fungsi khusus. Rumus berikut untuk menyelesaikan soal-soal limit trigonometri yang masih dasar-dasar.
1 cos 4x 1 cos 2 2x 2 sin 2 2x.
Tentukan hasil dari soal limit berikut. Contoh Soal Limit Fungsi Aljabar dan Pembahasannya - StuDocu Limit Fungsi Aljabar Nol Per Nol soalkuncimyid. Sama halnya dengan limit fungsi aljabar penyelesaian limit fungsi trigonometri paling umum dilakukan dengan substitusi terlebih. Namun kesulitan dalam mengerjakan soal limit trigonometri akan menjadi lebih mudah jika kamu sering berlatih mengisi soal.
Source: slideshare.net
Contoh soal dan pembahasan tentang limit. Pembahasan Cara pertama dengan rumus yang ada diatas sehingga langsung didapatkan. Limit Trigonometri dan Limit. Soal Pembahasan Limit Fungsi Trigonometri Untuk soal limit fungsi trigonometri dipisahkan dalam postingan lain karena soalnya akan terlalu banyak bila ditumpuk menjadi satu.
Source: temanmubelajar.com
Namun pada kesempatan kali ini kita akan lebih dalam memberikan pembahasan mengenai bagaimana cara menyelesaikan persoalan limit fungsi trigonometri. 5 2 3 E. 1 cos 4x 1 cos 2 2x 2 sin 2 2x. 3 2 3 Pembahasan lim π₯ π 3 2 tan π₯ sin π₯ cos π₯ 2 tan π 3 sin π 3 cos π 3 2.
Source: soalujian-77.blogspot.com
Jadi setelah kamu paham dengan contoh soal limit fungsi trigonometri. Berikut ini adalah soal dan pembahasan super lengkap mengenai limit khusus fungsi trigonometri. Materi limit ada beberapa jenis seperti limit fungsi aljabar limit fungsi trigonometri limit menuju tak hingga limit tak hingga fungsi trigonometri dan limit fungsi khusus. Contoh limit fungsi trigonometri yang sesuai dengan sifat-sifat dasarnya udah aku bahas di tulisan sebelumnya yaitu sifat limit fungsi trigonometri dan contoh soal.
3 1 2 3 1 2 43 3 2 1 2. Sehingga limit fungsi trigonometri tersebut adalah cos x. Namun pada kesempatan kali ini kita akan lebih dalam memberikan pembahasan mengenai bagaimana cara menyelesaikan persoalan limit fungsi trigonometri. Soal Matematika Kelas 12 Limit Soal dan-pembahasan-limit-fungsi Pembahasan Soal Limit Fungsi Trigonometri - YouTube Soal Dan.
Dari tabel di atas kita dapat melihat bahwa jika x semakin dekat ke nol maka nilai fungsinya akan semakin dekat ke dua.
Soal dan pembahasan super lengkap persamaan kuadrat mathcyber1997. Teknik yang digunakan untuk mengerjakan soal limit fungsi trigonometri dalam Matematika memang pasti berbeda-beda untuk setiap soalnya. 1 4 3 C. Namun kesulitan dalam mengerjakan soal limit trigonometri akan menjadi lebih mudah jika kamu sering berlatih mengisi soal. Pada pembahasan ini akan didiskusikan bagaimana menyelesaikan permasalahan limit fungsi trigonometri.
Source: contoh-soal-limit-fungsi-trigonometri.peatix.com
Namun pada kesempatan kali ini kita akan lebih dalam memberikan pembahasan mengenai bagaimana cara menyelesaikan persoalan limit fungsi trigonometri. Pengertian Limit Fungsi Trigonometri Soal dan Pembahasan Limit Fungsi Trigonometri. Sebaiknya kamu baca dulu tulisan itu karena pembahasan kita akan ada kaitannya dengan materi sebelumnya. Titik a berada pada jarak 5 cm dari muatan 10 mikro coulomb. Untuk soal limit fungsi aljabar dipisahkan dalam postingan lain karena soalnya akan terlalu banyak bila ditumpuk menjadi satu.
Contoh limit fungsi trigonometri yang sesuai dengan sifat-sifat dasarnya udah aku bahas di tulisan sebelumnya yaitu sifat limit fungsi trigonometri dan contoh soal. 120 soal dan pembahasan limit fungsi trigonometri 1. Contoh Soal Limit Fungsi Trigonometri Kelas 12 Contoh Corona Todays Soal dan Pembahasan Limit Fungsi Trigonometri. Soal Matematika Kelas 12 Limit Soal dan-pembahasan-limit-fungsi Pembahasan Soal Limit Fungsi Trigonometri - YouTube Soal Dan.
Untuk soal limit fungsi aljabar dipisahkan dalam postingan lain karena soalnya akan terlalu banyak bila ditumpuk menjadi satu.
Teknik yang digunakan untuk mengerjakan soal limit fungsi trigonometri dalam Matematika memang pasti berbeda-beda untuk setiap soalnya. Masing-masing tipe soal mempunyai cara tertentu untuk mengerjakan. Materi limit ada beberapa jenis seperti limit fungsi aljabar limit fungsi trigonometri limit menuju tak hingga limit tak hingga fungsi trigonometri dan limit fungsi khusus. Soal dan Pembahasan Super Lengkap Limit Fungsi Trigonometri Berikut ini adalah soal dan pembahasan super lengkap mengenai limit khusus fungsi trigonometri.
Source: id.pinterest.com
Soal dan Pembahasan Limit Fungsi Trigonometri Today Quote Tak pernah buat status otw tak pernah buat status jalan ke mana-mana makan di restoran mana mobilnya apa. 1 cos 4x 1 cos 2 2x 2 sin 2 2x. Kumpulan properti tersebut bisa dilihat pada daftar rumus limit trigonometri yang diberikan di bawah ini. Pembahasan Cara pertama dengan rumus yang ada diatas sehingga langsung didapatkan.
Source: caramenghitung.com
Soal juga dapat diunduh melalui tautan berikut. Contoh Soal Limit Fungsi Trigonometri Kelas 12 Contoh Corona Todays Soal dan Pembahasan Limit Fungsi Trigonometri. Cos 2x cos2x sin2x. Sehingga limit fungsi trigonometri tersebut adalah cos x.
 Source:
1 cos 4x 1 cos 2 2x 2 sin 2 2x. Untuk lebih jelasnya ikutilah contoh soal berikut ini. Soal dan Pembahasan Super Lengkap Limit Fungsi Trigonometri Berikut ini adalah soal dan pembahasan super lengkap mengenai limit khusus fungsi trigonometri. Namun pada kesempatan kali ini kita akan lebih dalam memberikan pembahasan mengenai bagaimana cara menyelesaikan persoalan limit fungsi trigonometri.
Pembahasan Cara pertama dengan rumus yang ada diatas sehingga langsung didapatkan.
Contoh Soal Limit Fungsi Trigonometri Kelas 12 Contoh Corona Todays Soal dan Pembahasan Limit Fungsi Trigonometri. Secara umum rumus-rumus limit fungsi trigonometri dapat dituliskan sebagai berikut. 5 2 3 E. Seperti beberapa cara yang ada di bawah ini. 1 cos 4x 1 cos 2 2x 2 sin 2 2x.
Source: soalujian-77.blogspot.com
Meskipun berbeda teknik namun tidak banyak teknik yang perlu dikuasai. Kumpulan properti tersebut bisa dilihat pada daftar rumus limit trigonometri yang diberikan di. 1 4 3 C. Bukan berarti tak punya kehidupan sebab tak semua hal perlu DIPAMERKAN sebab kehidupan dunia tak perlu pengakuan sebab ada hati yang perlu dijaga dan sebab tak semua orang seberuntung kita. Limit Trigonometri dan Limit.
Masing-masing tipe soal mempunyai cara tertentu untuk mengerjakan.
Soal dan pembahasan super lengkap persamaan kuadrat mathcyber1997. HP 390 o480 o Jawaban. Penyelesaian soal-soal limit selalu melakukan uji substitusi secara langsung. 120 Limit Fungsi Trigonometri 1 SMAN 12 MAKASSAR SOAL DAN PEMBAHASAN LIMIT FUNGSI TRIGONOMETRI 1.
Source: slideshare.net
Sama halnya dengan limit fungsi aljabar penyelesaian limit fungsi trigonometri paling umum dilakukan dengan substitusi terlebih. Pembahasan Cara pertama dengan rumus yang ada diatas sehingga langsung didapatkan. Teknik mengerjakan soal limit fungsi trigonometri berbeda untuk setiap soalnya. Rumus berikut untuk menyelesaikan soal-soal limit trigonometri yang masih dasar-dasar.
Source: id.pinterest.com
Contoh Soal Limit Fungsi Aljabar dan Pembahasannya - StuDocu Limit Fungsi Aljabar Nol Per Nol soalkuncimyid. Sebaiknya kamu baca dulu tulisan itu karena pembahasan kita akan ada kaitannya dengan materi sebelumnya. 1 cos 4x 1 cos 2 2x 2 sin 2 2x. Hai semua saya akan menjelaskan tentang limit trigonometri sederhana.
Source: dapatkancontoh.blogspot.com
Menentukan Limit Fungsi Trigonometri. Tentu soal-soalnya akan terus kita update untuk berbagai tahun dan jenisnya. Meskipun berbeda teknik namun tidak banyak teknik yang perlu dikuasai. Untuk menentukan nilai limit dari suatu fungsi trigonometri sendiri bisa menggunakan berbagai macam cara yang bisa kamu coba.
Contoh soal dan pembahasan tentang limit.
1 4 3 C. Kumpulan properti tersebut bisa dilihat pada daftar rumus limit trigonometri yang diberikan di. Pembahasan Cara pertama dengan rumus yang ada diatas sehingga langsung didapatkan. Untuk soal limit fungsi aljabar dipisahkan dalam postingan lain karena soalnya akan terlalu banyak bila ditumpuk menjadi satu. Titik a berada pada jarak 5 cm dari muatan 10 mikro coulomb.
Source: slideshare.net
Soal dan Pembahasan Limit Fungsi Trigonometri Today Quote Tak pernah buat status otw tak pernah buat status jalan ke mana-mana makan di restoran mana mobilnya apa. Masing-masing tipe soal mempunyai cara tertentu untuk mengerjakan. Berikut ini adalah soal dan pembahasan super lengkap mengenai limit khusus fungsi trigonometri. Pembahasan Cara pertama dengan rumus yang ada diatas sehingga langsung didapatkan. Menghitung Limit Fungsi Trigonometri DOWNLOAD RANGKUMAN CONTOH SOAL LIMIT PEMBAHASAN JAWABAN KELAS 11 DALAM BENTUK PDF KLIK DISINI Contoh Soal Limit Pembahasan Jawaban Kelas 11.
Limit fungsi trigonometri adalah limit fungsi yang melibatkan fungsi trigonometri seperti fungsi sinus cosinus tangen dan lain-lain.
Tentu soal-soalnya akan terus kita update untuk berbagai tahun dan jenisnya. Tentukan hasil dari soal limit berikut. Dari tabel di atas kita dapat melihat bahwa jika x semakin dekat ke nol maka nilai fungsinya akan semakin dekat ke dua. 120 soal dan pembahasan limit fungsi trigonometri 1.
Source: id.pinterest.com
Sebaiknya kamu baca dulu tulisan itu karena pembahasan kita akan ada kaitannya dengan materi sebelumnya. 1 cos 4x 1 cos 2 2x 2 sin 2 2x. Pembahasan Cara pertama dengan rumus yang ada diatas sehingga langsung didapatkan. Contoh Soal Limit Fungsi Aljabar dan Pembahasannya - StuDocu Limit Fungsi Aljabar Nol Per Nol soalkuncimyid. Teknik yang digunakan untuk mengerjakan soal limit fungsi trigonometri dalam Matematika memang pasti berbeda-beda untuk setiap soalnya.
Source: id.pinterest.com
Tentukan hasil dari soal limit berikut. Limit Trigonometri dan Limit. Tentu soal-soalnya akan terus kita update untuk berbagai tahun dan jenisnya. Pengertian Limit Fungsi Trigonometri Soal dan Pembahasan Limit Fungsi Trigonometri. Contoh Soal Limit Fungsi Trigonometri Kelas 12 Contoh Corona Todays Soal dan Pembahasan Limit Fungsi Trigonometri.
Source: id.pinterest.com
Untuk lebih jelasnya ikutilah contoh soal berikut ini. Nilai lim π₯ π 3 2 tan π₯sin π₯ cos π₯. Untuk menentukan nilai limit dari suatu fungsi trigonometri sendiri bisa menggunakan berbagai macam cara yang bisa kamu coba. Soal juga dapat diunduh melalui tautan berikut. Untuk soal limit fungsi aljabar dipisahkan dalam postingan lain karena soalnya akan terlalu banyak bila ditumpuk menjadi satu.
Situs ini adalah komunitas terbuka bagi pengguna untuk mencurahkan apa yang mereka cari di internet, semua konten atau gambar di situs web ini hanya untuk penggunaan pribadi, sangat dilarang untuk menggunakan artikel ini untuk tujuan komersial, jika Anda adalah penulisnya dan menemukan gambar ini dibagikan tanpa izin Anda, silakan ajukan laporan DMCA kepada Kami.
Jika Anda menemukan situs ini bermanfaat, tolong dukung kami dengan membagikan postingan ini ke akun media sosial seperti Facebook, Instagram dan sebagainya atau bisa juga bookmark halaman blog ini dengan judul soal limit fungsi trigonometri dan pembahasannya dengan menggunakan Ctrl + D untuk perangkat laptop dengan sistem operasi Windows atau Command + D untuk laptop dengan sistem operasi Apple. Jika Anda menggunakan smartphone, Anda juga dapat menggunakan menu laci dari browser yang Anda gunakan. Baik itu sistem operasi Windows, Mac, iOS, atau Android, Anda tetap dapat menandai situs web ini.




